- シンクタンクならニッセイ基礎研究所 >
- 経済 >
- 経済予測・経済見通し >
- 統計分析を理解しよう:自由度の概念と活用について
文字サイズ
- 小
- 中
- 大
自由度とは?
例えば、平均の場合は身長に対する平均(身長の平均)、成績に対する平均(成績の平均)、収入に対する平均(収入の平均)といったように、平均の具体的な内容が示されていることに比べ、自由度は修飾語を付けないまま自由度だけに呼ばれているケースが多い。従って、「計算に対する(計算の)自由度」、「標本分散に対する(標本分散の)自由度」のように何に対する自由度なのかを明確に示すと、自由度に対する理解がより深まると考えられる。
自由度の定義から考える自由度
標本分散、t分布に利用される自由度
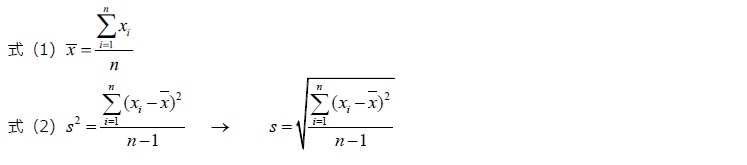
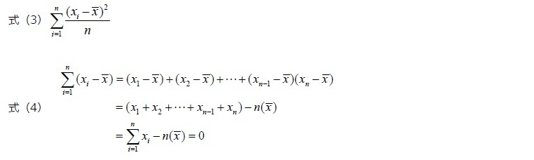
上述した通り、独立したn個のデータを用いて、推計値である「標本平均」を求めているので、「標本平均」はnで割るのが適切である。それに対して、標本分散の場合には、式(2)のように平方和(個々のデータと平均値の差を二乗した値の和)を求める式(式(3))に、推計値である標本平均(
)が含まれているので、「自由に決めることができる値の数」が一つ減ることになる。言い換えると、データの各値(
)と標本平均(
)との差である「偏差」の合計は0(式(4))になるので、自由に入れることができる値の数が一つ制約されてしまう。そこで、標本分散を求める際には一般的にnではなくn-1が用いられている。
つまり、標本平均
の分布が、平均が
で、分散が
である正規分布に従う場合(式(5))の母平均の統計的推定は、母分散の値を分かっている時には式(6)のように平均が0、分散が1である標準正規分布を、母分散の値を分かっていない時には、式(7)のように自由度がn-1のt分布を利用すれば良い。
と
だけだからである。式(6)の
は母集団の標準偏差であり、その値は分からない「常数」である。一方、標本の標準偏差である
は、標本を抽出するたびにその値が変わるので「変数」である。つまり、式(6)と式(7)を比較すると、式(6)に比べ、式(7)の方が標本を抽出するたびに変わるので変動が大きいと言える。従って、t分布の曲線は標準正規分布曲線より分布が大きく、横軸に広がっている可能性が高い(図表2)。また、t分布の曲線はサンプルサイズの影響を受ける。つまり、サンプルサイズnが大きくなれば大きくなるほど、t分布は標準正規分布に近くなる。図表2を見ると、自由度が1のt分布曲線より、サンプルサイズ(自由度)が大きい自由度10のt分布の方が分布が小さく、より標準正規分布に近い曲線になっていることが分かる。
本資料記載のデータは各種の情報源から入手・加工したものであり、その正確性と完全性を保証するものではありません。
また、本資料は情報提供が目的であり、記載の意見や予測は、いかなる契約の締結や解約を勧誘するものではありません。
(2020年12月15日「研究員の眼」)
このレポートの関連カテゴリ
生活研究部 上席研究員・ヘルスケアリサーチセンター・ジェロントロジー推進室兼任
金 明中 (きむ みょんじゅん)
研究・専門分野
高齢者雇用、不安定労働、働き方改革、貧困・格差、日韓社会政策比較、日韓経済比較、人的資源管理、基礎統計
03-3512-1825
- プロフィール
【職歴】
独立行政法人労働政策研究・研修機構アシスタント・フェロー、日本経済研究センター研究員を経て、2008年9月ニッセイ基礎研究所へ、2023年7月から現職
・2011年~ 日本女子大学非常勤講師
・2015年~ 日本女子大学現代女性キャリア研究所特任研究員
・2021年~ 横浜市立大学非常勤講師
・2021年~ 専修大学非常勤講師
・2021年~ 日本大学非常勤講師
・2022年~ 亜細亜大学都市創造学部特任准教授
・2022年~ 慶應義塾大学非常勤講師
・2019年 労働政策研究会議準備委員会準備委員
東アジア経済経営学会理事
・2021年 第36回韓日経済経営国際学術大会準備委員会準備委員
【加入団体等】
・日本経済学会
・日本労務学会
・社会政策学会
・日本労使関係研究協会
・東アジア経済経営学会
・現代韓国朝鮮学会
・博士(慶應義塾大学、商学)
金 明中のレポート
| 日付 | タイトル | 執筆者 | 媒体 |
|---|---|---|---|
| 2025/07/08 | 「静かな退職」と「カタツムリ女子」の台頭-ハッスルカルチャーからの脱却と新しい働き方のかたち | 金 明中 | 基礎研マンスリー |
| 2025/06/06 | “サヨナラ”もプロに任せる時代-急増する退職代行サービス利用の背景とは? | 金 明中 | 基礎研マンスリー |
| 2025/06/02 | 日韓カップルの増加は少子化に歯止めをかけるか? | 金 明中 | 研究員の眼 |
| 2025/05/22 | 【アジア・新興国】韓国の生命保険市場の現状-2023年のデータを中心に- | 金 明中 | 保険・年金フォーカス |
新着記事
-
2025年10月29日
生活習慣病リスクを高める飲酒の現状と改善に向けた対策~男女の飲酒習慣の違いに着目して -
2025年10月29日
地域イベントの現実と課題-渋谷のハロウィンをイベントとして運営できるか- -
2025年10月28日
試練の5年に踏み出す中国(前編)-「第15次五カ年計画」の5年間は、どのような5年か -
2025年10月28日
地域医療連携推進法人の現状と今後を考える-「連携以上、統合未満」で協力する形態、その将来像は? -
2025年10月28日
東宝の自己株式取得-公開買付による取得
レポート紹介
-
研究領域
-
経済
-
金融・為替
-
資産運用・資産形成
-
年金
-
社会保障制度
-
保険
-
不動産
-
経営・ビジネス
-
暮らし
-
ジェロントロジー(高齢社会総合研究)
-
医療・介護・健康・ヘルスケア
-
政策提言
-
-
注目テーマ・キーワード
-
統計・指標・重要イベント
-
媒体
- アクセスランキング
お知らせ
-
2025年07月01日
News Release
-
2025年06月06日
News Release
-
2025年04月02日
News Release
【統計分析を理解しよう:自由度の概念と活用について】【シンクタンク】ニッセイ基礎研究所は、保険・年金・社会保障、経済・金融・不動産、暮らし・高齢社会、経営・ビジネスなどの各専門領域の研究員を抱え、様々な情報提供を行っています。
統計分析を理解しよう:自由度の概念と活用についてのレポート Topへ

















