- シンクタンクならニッセイ基礎研究所 >
- 経済 >
- 日本経済 >
- 経済予測はどのくらいはずれるのか(3)~四半期別GDP速報の予測精度(個別機関vsコンセンサス予測)~
2020年01月28日
文字サイズ
- 小
- 中
- 大
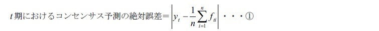
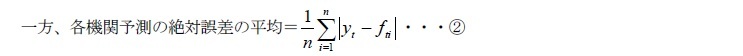
4――コンセンサス予測が優秀となる理由
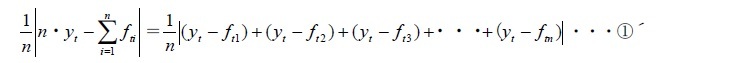
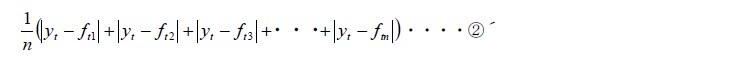
①´式右辺と②´式右辺の違いは各項を合計したものに絶対値がついているか、各項それぞれに絶対値がついているかである。各項が全て同じ符号の場合、①´=②´となり、各項に異なる符号が存在する場合、①´<②´となる。つまり、①´≦②´が必ず成立する。
具体的には、実績値が市場予測のレンジから外れた場合(市場予測の上限値、下限値の場合も含む)、①´式右辺の各項は全て同じ符号となり、①´式は②´式と一致する。すなわち、コンセンサス予測の誤差と個別機関の予測誤差の平均は等しくなる。実績値が市場予測のレンジ内となった場合には、①´式右辺の各項はプラスとマイナスが混在し、これらが互いに打ち消し合うことにより、①´式は②´式よりも小さくなる。すなわち、コンセンサス予測の誤差は個別機関の予測誤差の平均よりも小さくなる。
このことを概念図で示すと図表5のようになる2。まず、実績値がコンセンサス予測通りだった場合(図表5の①)、コンセンサス予測と同じ予測値を出した機関は引き分け、それ以外の機関は負けとなり、コンセンサス予測に勝つ機関はゼロとなる。次に、実績値が予測値のレンジ内におさまった場合(図表5の②)、半数以上の機関がコンセンサス予測に負ける。最後に、実績値が予測値のレンジから外れた場合(図表5の③)、半数の機関がコンセンサス予測に勝ち、半数の機関がコンセンサス予測に負ける。どのケースにおいてもコンセンサス予測が半数以上の機関に負けることはない。
結局、コンセンサス予測の誤差が個別機関の予測誤差の平均よりも大きくなることは原理的にありえない。このような試行を繰り返すことにより、期間が長くなるほどコンセンサス予測は相対的に優秀な成績をおさめることになるのである。
具体的には、実績値が市場予測のレンジから外れた場合(市場予測の上限値、下限値の場合も含む)、①´式右辺の各項は全て同じ符号となり、①´式は②´式と一致する。すなわち、コンセンサス予測の誤差と個別機関の予測誤差の平均は等しくなる。実績値が市場予測のレンジ内となった場合には、①´式右辺の各項はプラスとマイナスが混在し、これらが互いに打ち消し合うことにより、①´式は②´式よりも小さくなる。すなわち、コンセンサス予測の誤差は個別機関の予測誤差の平均よりも小さくなる。
このことを概念図で示すと図表5のようになる2。まず、実績値がコンセンサス予測通りだった場合(図表5の①)、コンセンサス予測と同じ予測値を出した機関は引き分け、それ以外の機関は負けとなり、コンセンサス予測に勝つ機関はゼロとなる。次に、実績値が予測値のレンジ内におさまった場合(図表5の②)、半数以上の機関がコンセンサス予測に負ける。最後に、実績値が予測値のレンジから外れた場合(図表5の③)、半数の機関がコンセンサス予測に勝ち、半数の機関がコンセンサス予測に負ける。どのケースにおいてもコンセンサス予測が半数以上の機関に負けることはない。
結局、コンセンサス予測の誤差が個別機関の予測誤差の平均よりも大きくなることは原理的にありえない。このような試行を繰り返すことにより、期間が長くなるほどコンセンサス予測は相対的に優秀な成績をおさめることになるのである。
このことは2004年度から実施されている日本経済研究センターの「ESPフォーキャスト調査」3でも実証されている。ESPフォーキャスト調査は年度毎に、実質GDP、消費者物価、失業率などの予測誤差をもとにパフォーマンス評価を行い、優秀フォーキャスターを選出しているが、それと同時に、総平均、低位8機関、高位8機関の順位を公表している。
5――個別機関の予測誤差
最後に、GDP速報に関する個別機関の予測誤差をコンセンサス予測と比較しながら確認する。QUICKの集計では、毎四半期30前後の機関が回答しているが、今回は継続的に予測値を回答している機関に限定して予測誤差を計算した。具体的には対象期間中に調査回数の8割以上回答している16機関(ニッセイ基礎研究所を含む)、当該四半期終了から概ね1ヵ月後に各機関から公表される直前予測を対象とした。
前述したように、コンセンサス予測は相対的に優秀な予測となるため、個別機関がコンセンサス予測に勝つことは難しい。今回の検証期間(2000年1-3月期~2019年7-9月期)においても、実質GDP(前期比年率)の平均絶対誤差は、最もパフォーマンスの良い機関でも1.00%とコンセンサスの0.99%をわずかながら上回り、16機関全てがコンセンサスよりも予測精度が劣るという結果となった。最も予測誤差が大きい機関の平均絶対誤差は1.33%であった(図表7)。予測誤差を5年毎に区切ってみると、短期間ではコンセンサスよりも優秀な機関も少数存在するが、勝ち続けている機関はない。16機関中8機関はすべての期間でコンセンサスに負けている。各機関の予測誤差がコンセンサスの予測誤差よりも小さかった場合に勝ち、大きかった場合に負け、同じだった場合に引き分けとし、引き分けを除いた上で勝率(勝ち数/(勝ち数+負け数))を計算すると、全期間で50%を上回っているのは3機関、最低は29.5%であった。16機関の平均勝率は39.2%と50%を大きく下回っている。上位3機関は平均絶対誤差ではコンセンサスに劣っているものの、勝率でみればコンセンサスに勝っている。
予測誤差を需要項目別にみると、設備投資、民間在庫変動、政府消費についてはコンセンサスよりも優秀な機関は存在しないが、民間消費は5機関がコンセンサスの予測精度を上回っている(図表8)。実質GDP全体の予測誤差と需要項目別の予測誤差は必ずしも連動しない。各機関の需要項目別の平均絶対誤差(寄与度ベースに換算)を積み上げて求めた需要項目計の予測誤差と実質GDP全体の予測誤差を比較すると、実質GDPの順位と需要項目計の順位は必ずしも一致していないことが確認された。
たとえば、機関Eは実質GDPの順位は5位だが、需要項目別の順位は低く需要項目計の順位は13位と下位に位置する。需要項別の予測誤差は大きいが、それぞれが逆方向に外れることにより実質GDPの予測誤差が小さくなることが多かったということになる。
一方、機関Cは実質GDPの順位は3位だが、需要項目別にみると8項目のうち6項目の順位が1位で、このうち、5項目はコンセンサスよりも誤差が小さかった。さらに、需要項目別の予測誤差を積み上げて求めた需要項目計の予測誤差は2.68%とコンセンサスの2.98%よりも小さく、順位は1位となった。
6――まとめ
GDP速報(1次速報)における実質GDP成長率(前期比年率)の予測誤差(民間調査機関の平均、コンセンサス)は、2000年1-3月期から2019年7-9月期(79四半期)の平均で0.99%(絶対誤差)である。予測誤差の分布をみると、実績値が予測値から±0.5%以内におさまる確率は3割弱で、1割弱は予測誤差が±2%を上回っている。需要項目別には、公的固定資本形成、設備投資、住宅投資の予測誤差が大きいが、実質GDP成長率への寄与度でみると、大きい順に民間消費、設備投資、民間在庫変動となる。日本のGDP速報の予測誤差は米国(平均絶対誤差は0.54%)の2倍近いが、その原因として、日本のGDP統計の振れが大きいことや推計方法の開示が不十分であることなどが挙げられる。
個別機関の予測精度を確認したところ、需要項目別にはコンセンサスよりも予測精度が高い機関が存在したが、実質GDP成長率については約20年間の平均でコンセンサス予測よりも良いパフォーマンスをあげている機関がひとつもなかった。
第1~3回では主としてGDP統計(第1回、第2回は年度ベースの実質GDP、第3回は四半期別GDP速報(QE))に関する予測精度の検証を行ったが、第4回は月次指標を取り上げる予定である。
個別機関の予測精度を確認したところ、需要項目別にはコンセンサスよりも予測精度が高い機関が存在したが、実質GDP成長率については約20年間の平均でコンセンサス予測よりも良いパフォーマンスをあげている機関がひとつもなかった。
第1~3回では主としてGDP統計(第1回、第2回は年度ベースの実質GDP、第3回は四半期別GDP速報(QE))に関する予測精度の検証を行ったが、第4回は月次指標を取り上げる予定である。
(お願い)本誌記載のデータは各種の情報源から入手・加工したものであり、その正確性と安全性を保証するものではありません。また、本誌は情報提供が目的であり、記載の意見や予測は、いかなる契約の締結や解約を勧誘するものではありません。
(2020年01月28日「基礎研レター」)
このレポートの関連カテゴリ
03-3512-1836
経歴
- ・ 1992年:日本生命保険相互会社
・ 1996年:ニッセイ基礎研究所へ
・ 2019年8月より現職
・ 2010年 拓殖大学非常勤講師(日本経済論)
・ 2012年~ 神奈川大学非常勤講師(日本経済論)
・ 2018年~ 統計委員会専門委員
斎藤 太郎のレポート
| 日付 | タイトル | 執筆者 | 媒体 |
|---|---|---|---|
| 2025/11/18 | 2025~2027年度経済見通し(25年11月) | 斎藤 太郎 | Weekly エコノミスト・レター |
| 2025/11/17 | QE速報:2025年7-9月期の実質GDPは前期比▲0.4%(年率▲1.8%)-トランプ関税の影響が顕在化し、6四半期ぶりのマイナス成長 | 斎藤 太郎 | Weekly エコノミスト・レター |
| 2025/10/31 | 2025年7-9月期の実質GDP~前期比▲0.7%(年率▲2.7%)を予測~ | 斎藤 太郎 | Weekly エコノミスト・レター |
| 2025/10/31 | 鉱工業生産25年9月-7-9月期の生産は2四半期ぶりの減少も、均してみれば横ばいで推移 | 斎藤 太郎 | 経済・金融フラッシュ |
新着記事
-
2025年11月20日
持続可能なESGを求めて-目標と手段とを取り違えないこと -
2025年11月20日
「ラブブ」とは何だったのか-SNS発の流行から考える“リキッド消費” -
2025年11月19日
1ドル155円を突破、ぶり返す円安の行方~マーケット・カルテ12月号 -
2025年11月19日
年金額改定の本来の意義は実質的な価値の維持-年金額改定の意義と2026年度以降の見通し(1) -
2025年11月19日
日本プロ野球の監督とMLBのマネージャー~訳語が仕事を変えたかもしれない~
お知らせ
-
2025年07月01日
News Release
-
2025年06月06日
News Release
-
2025年04月02日
News Release
【経済予測はどのくらいはずれるのか(3)~四半期別GDP速報の予測精度(個別機関vsコンセンサス予測)~】【シンクタンク】ニッセイ基礎研究所は、保険・年金・社会保障、経済・金融・不動産、暮らし・高齢社会、経営・ビジネスなどの各専門領域の研究員を抱え、様々な情報提供を行っています。
経済予測はどのくらいはずれるのか(3)~四半期別GDP速報の予測精度(個別機関vsコンセンサス予測)~のレポート Topへ
















