- シンクタンクならニッセイ基礎研究所 >
- 保険 >
- 欧米保険事情 >
- EUソルベンシーIIにおけるLTG措置等の適用状況とその影響(2)-EIOPAの2017報告書の概要報告-
2018年01月23日
EUソルベンシーIIにおけるLTG措置等の適用状況とその影響(2)-EIOPAの2017報告書の概要報告-
このレポートの関連カテゴリ
文字サイズ
- 小
- 中
- 大
VAを適用した730社のうち469社がグループの一員である。特にドイツでは、VAを適用している会社は全てグループの一員である。
469社の技術的準備金の市場シェアは56.2%となっている。
469社の技術的準備金の市場シェアは56.2%となっている。
(2)SCR比率への影響
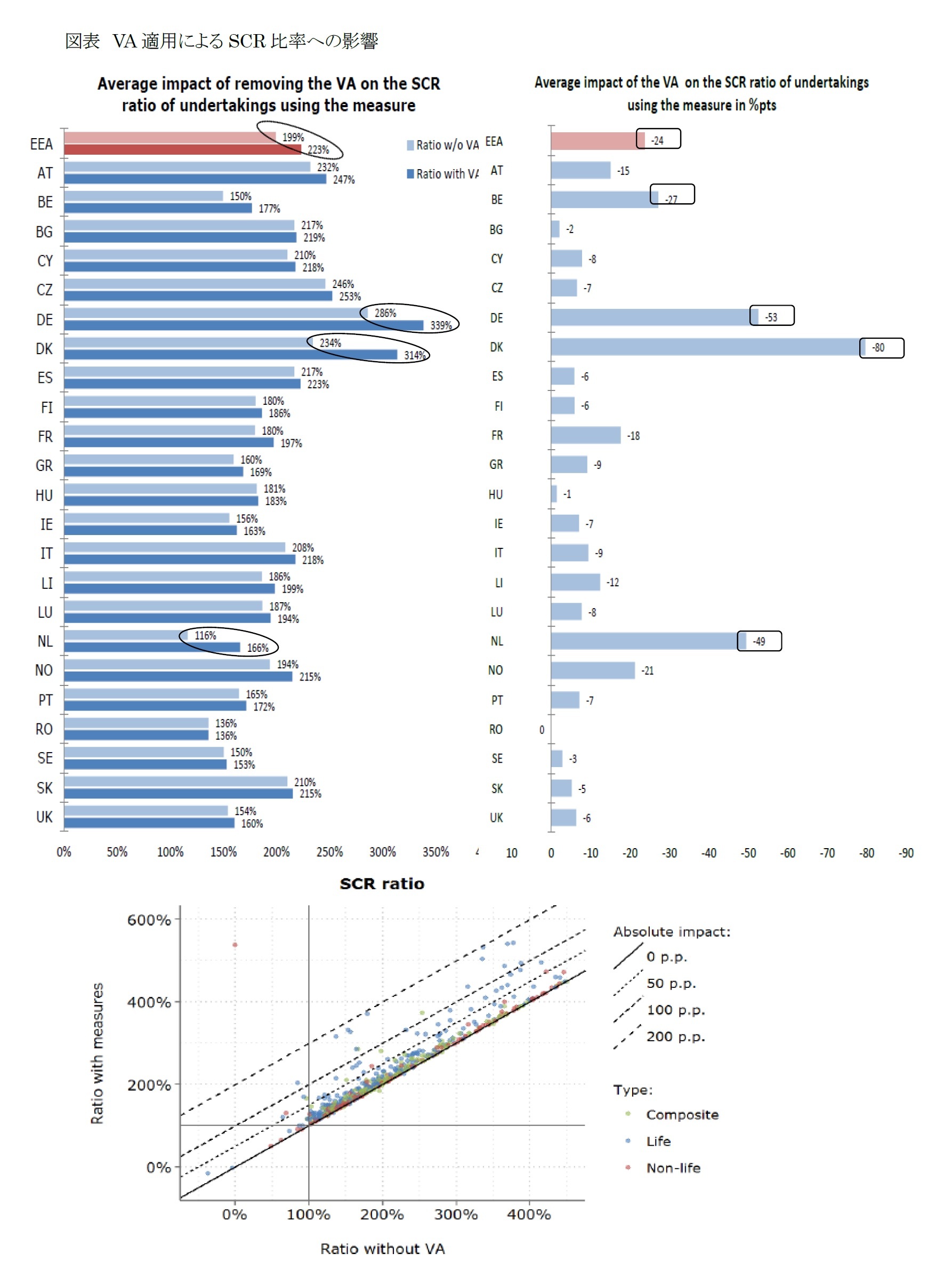
VAを適用しなかった場合のSCR比率への影響については、次ページの上の図表の通りである。
EEA全体の平均では223%から199%に24%ポイント低下する。
国別では、デンマークが314%から234%に80%ポイント低下し、絶対水準では最も影響度が高く、ドイツが339%から286%に53%ポイント低下で続いている。オランダは166%から116%に49%ポイント低下し、割合では30%の低下で最も影響が大きい。
一方で、主要国では、MA適用会社の多い英国とスペインでの影響は6%ポイントと低くなっている。また、フランスは18%ポイント、イタリアは9%ポイントの影響となっている。
次ページの下の図表が、VAを適用している会社の適用前後の状況を示している。
VAを適用している会社の83%の絶対的な影響は0%から50%の範囲内となっている。また、会社数の3%に相当する20社(技術的準備金の市場シェアが3.3%)がVAを適用しない場合、SCR比率が100%未満となる。さらに、3社(技術的準備金の市場シェア0.01%)が、VAを適用しない場合、適格自己資本はマイナスになる。
VAを適用しなかった場合のSCR比率への影響については、次ページの上の図表の通りである。
EEA全体の平均では223%から199%に24%ポイント低下する。
国別では、デンマークが314%から234%に80%ポイント低下し、絶対水準では最も影響度が高く、ドイツが339%から286%に53%ポイント低下で続いている。オランダは166%から116%に49%ポイント低下し、割合では30%の低下で最も影響が大きい。
一方で、主要国では、MA適用会社の多い英国とスペインでの影響は6%ポイントと低くなっている。また、フランスは18%ポイント、イタリアは9%ポイントの影響となっている。
次ページの下の図表が、VAを適用している会社の適用前後の状況を示している。
VAを適用している会社の83%の絶対的な影響は0%から50%の範囲内となっている。また、会社数の3%に相当する20社(技術的準備金の市場シェアが3.3%)がVAを適用しない場合、SCR比率が100%未満となる。さらに、3社(技術的準備金の市場シェア0.01%)が、VAを適用しない場合、適格自己資本はマイナスになる。
(2018年01月23日「保険・年金フォーカス」)
このレポートの関連カテゴリ
関連レポート
- EUソルベンシーIIにおけるLTG措置等の適用状況とその影響(1)-EIOPAの2017報告書の概要報告-
- EUソルベンシーIIにおけるLTG措置等の適用状況とその影響(3)-EIOPAの2017報告書の概要報告-
- EUソルベンシーIIにおけるLTG措置等の適用状況とその影響(4)-EIOPAの報告書2017の概要報告-
- EUソルベンシーIIにおけるLTG措置等の適用状況とその影響(5)-EIOPAの報告書2017の概要報告-
- EUソルベンシーIIにおけるLTG措置等の適用状況とその影響(1)-EIOPAの報告書の概要報告-
- EUソルベンシーIIの動向-EIOPAがUFR(終局フォワードレート)算出のための新たな方法論を公表(1)-
- 欧州大手保険グループの2017年末SCR比率の状況について(1)-ソルベンシーIIに基づく数値結果報告-
中村 亮一のレポート
| 日付 | タイトル | 執筆者 | 媒体 |
|---|---|---|---|
| 2025/10/23 | EIOPAがソルベンシーIIのレビューに関する技術基準とガイドラインのセットの新たな協議を開始等 | 中村 亮一 | 保険・年金フォーカス |
| 2025/10/16 | EIOPAが2026年のワークプログラムと戦略的監督上の優先事項を公表-テーマ毎の活動計画等が明らかに- | 中村 亮一 | 保険・年金フォーカス |
| 2025/10/09 | 曲線にはどんな種類があって、どう社会に役立っているのか(その13)-3次曲線(アーネシの曲線・シッソイド等)- | 中村 亮一 | 研究員の眼 |
| 2025/10/02 | IAIGsの指定の公表に関する最近の状況(15)-19の国・地域からの61社に- | 中村 亮一 | 保険・年金フォーカス |
新着記事
-
2025年10月24日
米連邦政府閉鎖と代替指標の動向-代替指標は労働市場減速とインフレ継続を示唆、FRBは政府統計を欠く中で難しい判断を迫られる -
2025年10月24日
企業年金の改定についての技術的なアドバイス(欧州)-EIOPAから欧州委員会への回答 -
2025年10月24日
消費者物価(全国25年9月)-コアCPI上昇率は拡大したが、先行きは鈍化へ -
2025年10月24日
保険業界が注目する“やせ薬”?-GLP-1は死亡率改善効果をもたらすのか -
2025年10月23日
御社のブランドは澄んでますか?-ブランド透明性が生みだす信頼とサステナビリティ開示のあり方(1)
レポート紹介
-
研究領域
-
経済
-
金融・為替
-
資産運用・資産形成
-
年金
-
社会保障制度
-
保険
-
不動産
-
経営・ビジネス
-
暮らし
-
ジェロントロジー(高齢社会総合研究)
-
医療・介護・健康・ヘルスケア
-
政策提言
-
-
注目テーマ・キーワード
-
統計・指標・重要イベント
-
媒体
- アクセスランキング
お知らせ
-
2025年07月01日
News Release
-
2025年06月06日
News Release
-
2025年04月02日
News Release
【EUソルベンシーIIにおけるLTG措置等の適用状況とその影響(2)-EIOPAの2017報告書の概要報告-】【シンクタンク】ニッセイ基礎研究所は、保険・年金・社会保障、経済・金融・不動産、暮らし・高齢社会、経営・ビジネスなどの各専門領域の研究員を抱え、様々な情報提供を行っています。
EUソルベンシーIIにおけるLTG措置等の適用状況とその影響(2)-EIOPAの2017報告書の概要報告-のレポート Topへ


















