- シンクタンクならニッセイ基礎研究所 >
- 保険 >
- 欧米保険事情 >
- EIOPAがソルベンシーIIレビューに関する第1の助言セットについてのCPを公表(1)-欧州委員会に対する助言内容-
EIOPAがソルベンシーIIレビューに関する第1の助言セットについてのCPを公表(1)-欧州委員会に対する助言内容-
文字サイズ
- 小
- 中
- 大
3―今回のCPにおけるEIOPAによる助言の概要
1|簡素化された計算の適用基準の明確化等
(1)欧州委員会からの助言要求内容
委任法は、標準式における計算に対して、全てではないが、多くの簡素化を提供している。しかしながら、例えば、損害解約リスクサブモジュール及び損害カタストロフィーリスクサブモジュールについては、何らの簡素化も提供されていない。
EIOPAは以下のことを求められる。
・既存の簡素化の現在の使用、関連する場合は、これらの簡素化が使用されない理由について、情報を提供する。
・要件の比例的な適用を強化する必要性を念頭に置いて、全ての標準式の計算に簡単で容易に適用できる方法が提供されることを確実にするために、既存の簡素化に対する改善を提案し、さらなる簡素化のための方法と基準を模索し提案する。
(2)EIOPAの助言
EIOPAは、比例評価、損害解約リスクサブモジュール、解約リスクサブモジュール及び生命死亡リスク及び健康死亡リスクにおける簡素化された計算について、その適用の考え方の基準等を明確化する助言を提案している。
比例評価
64.EIOPAの助言は、委任規則第88条の現行要件を変更することではない。
65.リスクの性質、規模及び複雑さを評価する第1のステップは、後続のステップで実行される特定の簡素化された計算の妥当性をチェックするための基礎を提供することを意図している。
66.エラーを評価する第2ステップは、エラーが重要でない(すなわち、SCR(Solvency Capital Requirement:ソルベンシー資本要件)の計算に含まれる情報の意図されたユーザーの意思決定又は判断に影響を与えない)かどうかを評価することを目的とする。(再)保険会社は、標準的な方法を用いて資本の価値を再計算する必要はない。代わりに、(再)保険会社が、そのエラーが重要でないという合理的な保証があることを証明することで十分である。この目的のために、最初にエラーの定性的評価を行うことが可能であり、エラーが重要でないことを示す場合、エラーを定量的に評価する必要はない。
損害解約リスクサブモジュール
67.委任規則第118条第1項(a)及び第150条(a)に記載された事由のもとで、(再)保険会社の基本的自己資本の損失を決定する目的で、会社は、契約ベースで基本的自己資本に最も悪影響を与える契約停止の種類に基づいて、計算すべきである。
68.(再)保険会社は、最良推計の計算に使用される同種のリスクグループに基づく計算を可能にする簡素化された計算を提供する必要がある。
69.リスクマージン無しで技術的準備金を増やすことになる同質のリスクグループには、40%の契約停止が適用されるべきである。
70.この簡素化された計算は、(再)保険事業が、最良推計を計算するために使用される特定のグルーピングが、解約の場合に、契約間の重要な補償を許容しないことを示すことができる場合にのみ適用されるべきである。
解約リスクサブモジュール
71.委任規則第142条第2項、第3項及び第6項及び第159条に規定する事由に基づく(再)保険会社の基本的自己資本の損失を決定する目的で、会社は、契約ベースで基本的自己資本に最も悪影響を与える契約停止の種類に基づいて、計算すべきである。
72.(再)保険会社は、最良推計の計算に使用される同種のリスクグループに基づく計算を可能にする簡素化された計算を提供する必要がある。
73.委任規則第142条第2項、第3項及び第6項及び第159条第6項に記載されている事象は、リスクマージン無しに技術的準備金を増加させる同質のリスクグループに適用されるべきである。
74.この簡素化された計算は、(再)保険会社が、最良推計を計算するために使用された特定のグループが、解約の場合に、契約間の重要な補償を許容しないことを示すことができる場合にのみ適用されるべきである。
生命死亡リスク及び健康死亡リスクに対する資本要件の簡素化された計算
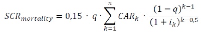
75.死亡リスクに関する資本要件は、委任規則第91条及び第97条によって提供される簡素化を用いて計算することができる。
76.この簡素化された計算によって提供される公式は、危険保険金総額が時間とともに変化しないことを前提としている。この変動が反映される必要がある状況を考慮に入れるために、簡素化された計算は次のように調整する必要がある。

77. 委任規則第91条は誤字を提示する:分母は「1-𝑖𝑘」ではなく、「1 +𝑖𝑘」でなければならない。
(1) 欧州委員会からの助言要求内容
規則(EC)No 1060/2009の規定に沿って、欧州連合は、第1段階で、連合法の下での外部信用格付への言及が、そのような外部信用格付への単一のあるいは機械的な依存を引き起こすか又は引き起こす可能性を有するかどうかを、第2段階では、信用リスク評価の適切な代替案が特定され、実施されているとの前提の下で、2020年までにそれらを削除することを目的とした、規制目的のための外部信用格付への全ての参照を、見直す方向で取り組んでいる。
ソルベンシーIIの標準式は、外部格付が利用可能かどうか、どのような格付がそのようなエクスポージャーに割り当てられているかに応じて、異なるリスクの考察を提供している。格付に過度に依存するリスクを軽減するため、ソルベンシーIIは、保険会社が技術的準備金及びソルベンシー資本要件の計算において、外部信用格付評価を使用する際に、外部評価への自動的な依存を避けるために、実務上可能な限り、追加の評価を使用することにより、リスク管理の一部として、外部信用評価の適切性を評価すべき、と規定している。さらに、ソルベンシーII委任規則第4条(5)は、より大規模又は複雑なエクスポージャーに対する会社内部の信用評価を作成するための(再)保険会社に対する要件を定めており、それが過度の依存リスクの軽減にも寄与する。このような軽減規則が整備されているにもかかわらず、ソルベンシーII委任法に含まれる格付の使用は、(再)保険会社が格付機関からの評価に依存するインセンティブを生む可能性がある。
したがって、EIOPAは以下のことを求められる。
代替的信用評価を導くために、標準化されたアプローチのための方法と基準を設定することにより、ソルベンシーII標準式における代替的信用評価の使用の枠組みをさらに発展させる。 このようなアプローチは、外部信用評価を持たないエクススポージャーをターゲットにして、大規模かつ複雑なエクスポージャーに限定されるべきではない。
(2)EIOPAの助言
EIOPAは、スプレッドリスクサブモジュール及び市場リスク集中リスクサブモジュールに対して、新しい簡素化された計算を導入するように助言している。具体的には、(再)保険会社が比例原則に関する第88条の要件を遵守して、かつ一定の条件を満たしている場合に、(再)保険会社は別のECAI(External Credit Assessment Institution :外部信用評価機関)を指名する必要はなく、そのスプレッドリスクサブモジュールとその市場リスク集中サブモジュールを、カバーしていない資産が信用度ステップ3(credit quality step 3 )4であるかのように計算することが許容される。
内部信用評価に関しては、EIOPAは、この段階で内部格付手法をさらに拡張しないことを助言している。
また、マーケット・インプライド・レーティング及び会計ベースの手法について、これらのオプションは、全てのエクスポージャーの資本要件を計算するための規制枠組みに導入するには、あまりにも多くの短所を有する、としている。
比例アプローチと簡素化された計算
143.EIOPAは、スプレッドリスクサブモジュール及び市場リスク集中リスクサブモジュールに対する委任規則第88条の枠組みの下での、2つの新しい簡素化された計算を導入するように助言する。
144.簡素化された計算は、以下の条件でのみ適用される。
・(再)保険会社は、既にその負債ポートフォリオの大部分をカバーするECAIを指名している。
・指定されたECAIがカバーしていない残りの資産クラス及び投資は、債券又は固定利息による定期的なクーポン支払いの形での返済と同様、満期日又はそれ以前に償還支払いを行う類似の投資である。貸付金、仕組債と担保付有価証券及びデリバティブは、簡素化された計算から明示的に除外される。
・(再)保険会社の負債が利益分配の仕組みを提供していない。(再)保険会社は、ユニット/インデックス連動事業を行わず、マッチング調整を使用していない。
145.これらの条件が満たされ、(再)保険会社が比例原則に関する委任規則第88条の要件を遵守している場合、(再)保険会社は別のECAIを指名する必要はなく、そのスプレッドリスクサブモジュールとその市場リスク集中サブモジュールを、カバーしていない資産が信用度ステップ3であるかのように計算することが許容される。資産又はその重要な部分の平均リスクプロファイルが信用度ステップ3を下回っているという証拠がある場合、簡素化された計算は適切ではない。
146.EIOPAはまた、「(再)保険事業が既にその負債ポートフォリオの大部分をカバーするECAIを指名している」という基準が、例えば簡素化された計算が許されていない下での一定のカバレッジ率に臨界値を導入することによって、さらに特定できるかどうかを検討している。ステークホルダーは、そのような臨界値についてのインプットを提供するよう呼びかけられている。
内部信用評価
147.EIOPAは、この段階で内部格付手法をさらに拡張しないことを助言している。可能であれば、未評価債務について進行中の作業の下で、堅牢で健全な内部信用評価を確認するために、EIOPAによってガイダンスが提供される予定である。内部評価が拡張できるかどうかにかかわらず、数年後に新しい評価が行われる可能性がある。
マーケット・インプライド・レーティング及び会計ベースの手法
148.これらのオプションは、全てのエクスポージャーの資本要件を計算するための規制枠組みに導入するには、あまりにも多くの短所を提示する。短所の概要については、影響評価セクションを参照のこと。
4 信用度ステップ(credit quality step) については、 以下の欧州委員会実施規則(EU) 2016/1800を参照のこと http://eur-lex.europa.eu/legal-content/EN/TXT/?uri=uriserv:OJ.L_.2016.275.01.0019.01.ENG&toc=OJ:L:2016:275:TOC
(2017年08月21日「基礎研レポート」)
関連レポート
- ソルベンシーIIの今後の検討課題について(1)-技術的準備金及びリスクの評価に関する項目-
- ソルベンシーIIの今後の検討課題について(2)-実務面の課題及びBrexitの影響等-
- EUソルベンシー IIの動向-長期保証措置(MA・VA・経過措置)の適用申請・承認等の状況はどのようになっているのか-
- EIOPAがソルベンシーIIレビューに関する第1の助言セットについてのCPを公表(2)-政策オプションの影響評価-
- EIOPAのソルベンシーIIレビューに関するCPに対する反応-欧州保険業界団体からの意見-
- EIOPAがソルベンシーIIレビューに関する第1の助言セットを欧州委員会に提出
- EIOPAのソルベンシーIIレビューに関する第2の助言セットについてのCPに対する反応-欧州保険業界団体からの意見-
中村 亮一のレポート
| 日付 | タイトル | 執筆者 | 媒体 |
|---|---|---|---|
| 2025/10/23 | EIOPAがソルベンシーIIのレビューに関する技術基準とガイドラインのセットの新たな協議を開始等 | 中村 亮一 | 保険・年金フォーカス |
| 2025/10/16 | EIOPAが2026年のワークプログラムと戦略的監督上の優先事項を公表-テーマ毎の活動計画等が明らかに- | 中村 亮一 | 保険・年金フォーカス |
| 2025/10/09 | 曲線にはどんな種類があって、どう社会に役立っているのか(その13)-3次曲線(アーネシの曲線・シッソイド等)- | 中村 亮一 | 研究員の眼 |
| 2025/10/02 | IAIGsの指定の公表に関する最近の状況(15)-19の国・地域からの61社に- | 中村 亮一 | 保険・年金フォーカス |
新着記事
-
2025年10月29日
生活習慣病リスクを高める飲酒の現状と改善に向けた対策~男女の飲酒習慣の違いに着目して -
2025年10月29日
地域イベントの現実と課題-渋谷のハロウィンをイベントとして運営できるか- -
2025年10月28日
試練の5年に踏み出す中国(前編)-「第15次五カ年計画」の5年間は、どのような5年か -
2025年10月28日
地域医療連携推進法人の現状と今後を考える-「連携以上、統合未満」で協力する形態、その将来像は? -
2025年10月28日
東宝の自己株式取得-公開買付による取得
レポート紹介
-
研究領域
-
経済
-
金融・為替
-
資産運用・資産形成
-
年金
-
社会保障制度
-
保険
-
不動産
-
経営・ビジネス
-
暮らし
-
ジェロントロジー(高齢社会総合研究)
-
医療・介護・健康・ヘルスケア
-
政策提言
-
-
注目テーマ・キーワード
-
統計・指標・重要イベント
-
媒体
- アクセスランキング
お知らせ
-
2025年07月01日
News Release
-
2025年06月06日
News Release
-
2025年04月02日
News Release
【EIOPAがソルベンシーIIレビューに関する第1の助言セットについてのCPを公表(1)-欧州委員会に対する助言内容-】【シンクタンク】ニッセイ基礎研究所は、保険・年金・社会保障、経済・金融・不動産、暮らし・高齢社会、経営・ビジネスなどの各専門領域の研究員を抱え、様々な情報提供を行っています。
EIOPAがソルベンシーIIレビューに関する第1の助言セットについてのCPを公表(1)-欧州委員会に対する助言内容-のレポート Topへ










