- シンクタンクならニッセイ基礎研究所 >
- 経済 >
- 日本経済 >
- 貸家着工にバブルの懸念?-住宅投資関数で説明できない好調さ
文字サイズ
- 小
- 中
- 大
付注1 住宅投資関数の推計結果
(1)推計式

(2)被説明変数 MO:持家の着工戸数 KA:貸家の着工戸数
(3)説明変数  IR:住宅ローン金利 LR:貸出金利 CP:地価指数
         ST:住宅ストック数 MI:消費者マインド CR:キャップレート
         dmE:東日本大震災のダミー変数
            (2011年4-6月期=1、同年7-9月期=-1)
         dmK:建築基準法改定のダミー変数
            (2007年7-9月期=1、同年10-12月期=0.5)
         dmL:リーマン・ショックのダミー変数
            (2008年10-12月期~2009年7-9月期=1)
(4)推計期間 持家:2004年1-3月期~2016年4-6月期
        貸家:2003年7-9月期~2016年4-6月期
《使用データ》
 (1) 持家、貸家の着工戸数
  国土交通省「住宅着工統計」の利用関係別季節調整済み着工戸数を使用。
 (2) 住宅ローン金利
  長期固定型住宅ローン金利(フラット35)を使用。
 (3) 貸出金利
  日本銀行「貸出約定平均金利」の新規・長期・国内銀行のデータを使用。
 (4) 地価指数
  一般財団法人日本不動産研究所「市街地価格指数」の六大都市・住宅地の指数を使用。1-3月期と7-9月期の指数については、前後指数の単純平均により算出。
 (5) 住宅ストック
  総務省「住宅・土地統計調査」の住居世帯無しの住宅数を使用。データが得られない期間については、5年間の空室増加数を四半期ごとの住宅着工戸数で按分することで算出。
 (6) 消費者マインド
  内閣府「消費動向調査」(一般世帯(2人以上世帯))の消費者態度指数を構成する意識指数のうち、「暮らし向き」「収入の増え方」「雇用環境」の単純平均。
 (7) キャップレート
  一般財団法人日本不動産研究所「不動産投資家調査」の賃貸住宅の期待利回りを使用。4-6月期と10-12月期の指数については、前後指数の単純平均により算出。
付注2 住宅取得能力指数の算出方法
(1)住宅価格=土地取得費(土地取得費の2011年度平均値×土地価格指数(2011年度平均に対する比率))+建設費(建設費の2011年度平均値×木造住宅の純工事費指数(2011年度平均に対する比率))
  ※土地取得費の2011年度平均値、建設費の2011年度平均値は、住宅金融支援機構「平成23年度フラット23利用調査」による。
  ※土地価格指数(2011年度平均に対する比率)は、国土交通省「不動産価格指数」により算出。
  ※木造住宅の純工事費指数(2011年度平均に対する比率)は、建設物価調査会「建設物価指数月報」により算出。
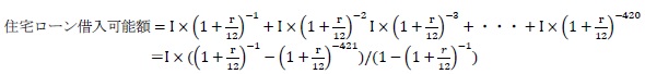
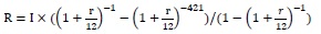
(2)調達可能金額=貯蓄額+住宅ローン借入可能額
  ※貯蓄額は、総務省「家計調査」による。定期性預金及び生命保険を除く。
  ※住宅ローン借入可能額は、毎月一定額を返済し続けることを前提とし、当該月の住宅ローン金利(=r)を用いて35年(420ヶ月)ローンを組む場合の借入可能額。すなわち、
  ※Iは、当該月の可処分所得の25%。rは、返済期間が21年以上の場合におけるフラット35についての、全金融機関の融資金利の最低金利を用いた。
(3)住宅取得能力指数=調達可能金額/住宅価格
付注3 調達可能金額の要因分解
付注2の調達可能金額について
 とおくと、調達可能金額の前期差
とおくと、調達可能金額の前期差
 =(C+I×R)-(c(-1)+I(-1)×R(-1))≒C-C(-1)+(I-I(-1))×R(-1)+I(-1)×(R-R(-1))…(※)
と分解される。なお、(※)の第1項を貯蓄変化分、第2項を所得変化分、第3項を金利変化分とした。
  ※(-1)は、1ヵ月前の変数をとることを表す。
(2016年11月11日「基礎研レポート」)
このレポートの関連カテゴリ
岡 圭佑
岡 圭佑のレポート
| 日付 | タイトル | 執筆者 | 媒体 | 
|---|---|---|---|
| 2017/05/10 | 企業の賃上げ意欲を削ぐ社会保障負担 | 岡 圭佑 | 基礎研マンスリー | 
| 2017/03/24 | 企業の賃上げ意欲を削ぐ社会保障負担 | 岡 圭佑 | 基礎研レター | 
| 2017/02/10 | 企業物価指数(2017年1月)~2015年3月以来の上昇、物価は上昇基調へ | 岡 圭佑 | 経済・金融フラッシュ | 
| 2017/02/09 | 景気ウォッチャー調査(17年1月)~回復基調に一服感、トランプ新政権に対する不透明感が重石 | 岡 圭佑 | 経済・金融フラッシュ | 
新着記事
- 
                2025年10月31日 
 2025年7-9月期の実質GDP~前期比▲0.7%(年率▲2.7%)を予測~
- 
                2025年10月31日 
 保険型投資商品の特徴を理解すること(欧州)-欧州保険協会の解説文書
- 
                2025年10月31日 
 鉱工業生産25年9月-7-9月期の生産は2四半期ぶりの減少も、均してみれば横ばいで推移
- 
                2025年10月31日 
 行政の枠を越えた流域単位の水管理-気候変動時代に求められる広域的な水マネジメント戦略
- 
                2025年10月31日 
 雇用関連統計25年9月-女性の正規雇用比率が50%に近づく
お知らせ
- 
                        2025年07月01日 News Release 
- 
                        2025年06月06日 News Release 
- 
                        2025年04月02日 News Release 
【貸家着工にバブルの懸念?-住宅投資関数で説明できない好調さ】【シンクタンク】ニッセイ基礎研究所は、保険・年金・社会保障、経済・金融・不動産、暮らし・高齢社会、経営・ビジネスなどの各専門領域の研究員を抱え、様々な情報提供を行っています。
貸家着工にバブルの懸念?-住宅投資関数で説明できない好調さのレポート Topへ 
            




 
                     
                    
 経済 のレポート
経済 のレポート 
                                     
                                     
                                     
                                    
 
                                             
                         
                         
                        
 
                                                 
             
                     
					


