- シンクタンクならニッセイ基礎研究所 >
- 保険 >
- 保険計理 >
- モンティ・ホール問題とベイズ推定-追加情報に応じて取るべき行動をどう変えるか?
モンティ・ホール問題とベイズ推定-追加情報に応じて取るべき行動をどう変えるか?
保険研究部 主席研究員 兼 気候変動リサーチセンター チーフ気候変動アナリスト 兼 ヘルスケアリサーチセンター 主席研究員 篠原 拓也
文字サイズ
- 小
- 中
- 大
(参考) 一般化したモンティ・ホール問題の命題が成り立つことの説明
(一般化したモンティ・ホール問題)
設定:ドアN個(うちアタリW個)、追加情報:司会者はドアn個(うちアタリw個)を開ける
事前確率 W/N → 事後確率 P
[命題]
(W/N + (N-n-1)×P) / (N-n) = (W-w) / (N-n)
つまり、P = (N-1-N×w/W)/ (N-1-n) × W/N
(説明)
解答者は、最初にドア(1)を選択するものとする。
AiやBjなどの事象の記号の意味は、本文のものと同様とする。また、括弧書きは、場合の数を表すものとする。
P(A1) = … = P(AN) = W/N
P(Ai∩…∩Aj)=1/
(Ai∩…∩Ajは、W個のA*の「かつ」事象)P(Bs∩…∩Bt | Ai∩…∩Aj) (Bs∩…∩Btは、n個のB*の「かつ」事象)について考えてみる。
Ai∩…∩AjのA*の中にA1が含まれている場合、A1∩Ap∩…∩Aqとなり、Ap∩…∩Aqの(W-1)個のA*の添え字と、Bs∩…∩Btのn個のB*の添え字が、ちょうどw個一致しているときに、
P(Bs∩…∩Bt | Ai∩…∩Aj)=1/{
}となり、それ以外のときは0となる。Ai∩…∩AjのA*の中にA1が含まれていない場合、Ai∩…∩AjのW個のA*の添え字と、Bs∩…∩Btのn個のB*の添え字が、ちょうどw個一致しているときに、
P(Bs∩…∩Bt | Ai∩…∩Aj)=1/{
}となり、それ以外のときは0となる。ベイズの定理を使って、P(A1| Bs∩…∩Bt)と、P(Ak| Bs∩…∩Bt) (kは1やB*の添え字以外)を計算して、その比を取りたい。
まず、P(A1| Bs∩…∩Bt)について。
P(A1| Bs∩…∩Bt)=∑P(A1∩Ap∩…∩Aq| Bs∩…∩Bt) (Ap∩…∩AqのA*の数は(W-1)個)のように、
個の項の足し算の形に分解できる。さらにベイズの定理を用いて、次のように変形できる。
(ただし、Ap∩…∩Aq 、Au∩…∩Av 、Ai∩…∩AjのA*はA1以外。また、Ap∩…∩Aq とAu∩…∩Avは(W-1)個のA*の「かつ」事象。Ai∩…∩AjはW個のA*の「かつ」事象。)
このうち、P(Bs∩…∩Bt| A1∩Au∩…∩Av)の部分については、Au∩…∩Avの(W-1)個のA*の添え字と、Bs∩…∩Btのn個のB*の添え字がちょうどw個一致している項だけが残り、それ以外は0となって消える。
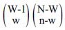
残る項は、すべて同じ値となるため、1つの項の値に項数を掛け算することで計算できる。0にならない項の数は、次のように表せる。
Bs∩…∩Btのn個のB*の添え字のうち、w個がアタリ(つまり、Au∩…∩AvのA*の添え字と一致)となる必要があり、そのような選び方の場合の数は
通りある。そして、その各場合に、Au∩…∩Avの(W-1)個のA*の添え字のうちBs∩…∩BtのB*の添え字以外のものが、((W-1)-w)個ある。それらは、1以外の添え字全体から、Bs∩…∩Btのn個のB*の添え字を除いた、((N-1)-n)個の中から選ぶことになるので、選び方の場合の数は
通りとなる。この2つの場合の数を掛け算することで、0にならない項数は、
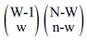
と計算できる。同様に、P(Bs∩…∩Bt| Ai∩…∩Aj)の部分については、0にならない項数は、
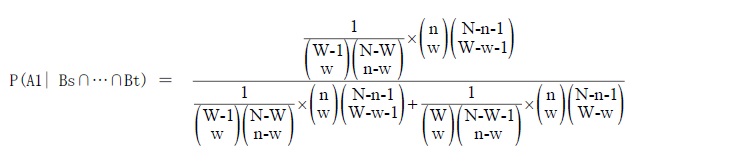
となる。これらを用いることで、P(A1| Bs∩…∩Bt)は、次の通りとなる。

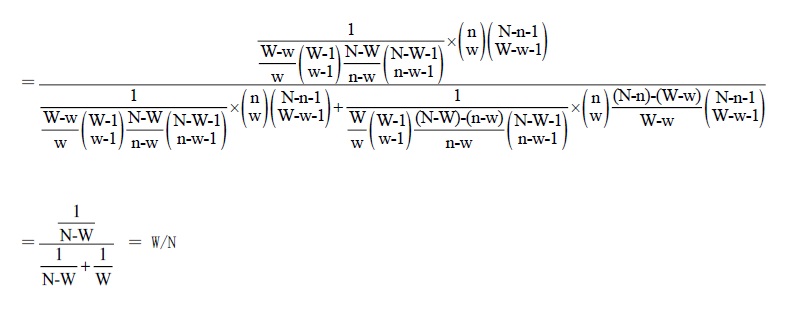
この式は、次のように計算してW/Nに等しいことが確かめられる。
次に、P(Ak| Bs∩…∩Bt) (kは1やB*の添え字以外) について。P(Ak| Bs∩…∩Bt)=∑P(Ak∩Ap∩…∩Aq| Bs∩…∩Bt) (Ap∩…∩AqのA*の数は(W-1)個)のように、
個の項の足し算の形に分解できる。さらにベイズの定理を用いて、次のように変形できる。
(ただし、Ax∩…∩Ay 、Ag∩…∩Ah のA*はAk、A1以外。Au∩…∩Av 、Ai∩…∩AjのA*はA1以外。また、Ax∩…∩Ayは(W-2)個のA*の「かつ」事象。Ag∩…∩Ah とAu∩…∩Av は(W-1)個のA*の「かつ」事象。Ai∩…∩AjはW個のA*の「かつ」事象。)
このうち、P(Bs∩…∩Bt| Ak∩A1∩Ax∩…∩Ay)の部分については、Ax∩…∩Ayの(W-2)個のA*の添え字と、Bs∩…∩Btのn個のB*の添え字がちょうどw個一致している項だけが残り、それ以外は0となって消える。(その他も同様。)
そこで、次のように計算できる。
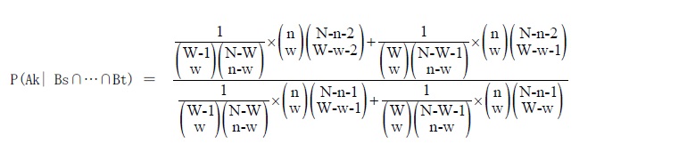
そこで、P(A1| Bs∩…∩Bt)と、P(Ak| Bs∩…∩Bt) (kは1やB*の添え字以外)の比をとる。
この2つの式の分母は同じであるから、分子どうしの比をとればよい。

このようにして、命題のPの式の中の、事前確率W/Nに掛け算される分数部分であることが示される。
(2024年09月10日「研究員の眼」)
保険研究部 主席研究員 兼 気候変動リサーチセンター チーフ気候変動アナリスト 兼 ヘルスケアリサーチセンター 主席研究員
篠原 拓也 (しのはら たくや)
研究・専門分野
保険商品・計理、共済計理人・コンサルティング業務
03-3512-1823
- 【職歴】
1992年 日本生命保険相互会社入社
2014年 ニッセイ基礎研究所へ
【加入団体等】
・日本アクチュアリー会 正会員
篠原 拓也のレポート
| 日付 | タイトル | 執筆者 | 媒体 |
|---|---|---|---|
| 2025/05/27 | 気候指数 2024年データへの更新-日本の気候の極端さは1971年以降の最高水準を大幅に更新 | 篠原 拓也 | 基礎研レポート |
| 2025/05/20 | 「次元の呪い」への対処-モデルの精度を上げるにはどうしたらよいか? | 篠原 拓也 | 研究員の眼 |
| 2025/05/13 | チェス盤を用いた伝心-愛情と計算力があれば心は通じる? | 篠原 拓也 | 研究員の眼 |
| 2025/05/09 | 国民負担率 24年度45.8%の見込み-高齢化を背景に、欧州諸国との差は徐々に縮小 | 篠原 拓也 | 基礎研マンスリー |
新着記事
-
2025年10月30日
潜在成長率は変えられる-日本経済の本当の可能性 -
2025年10月30日
米FOMC(25年10月)-市場予想通り、政策金利を▲0.25%引き下げ。バランスシート縮小を12月1日で終了することも決定 -
2025年10月30日
試練の5年に踏み出す中国(後編)-「第15次五カ年計画」建議にみる、中国のこれからの針路 -
2025年10月30日
米国で進む中間期の選挙区割り変更-26年の中間選挙を見据え、与野党の攻防が激化 -
2025年10月29日
生活習慣病リスクを高める飲酒の現状と改善に向けた対策~男女の飲酒習慣の違いに着目して
お知らせ
-
2025年07月01日
News Release
-
2025年06月06日
News Release
-
2025年04月02日
News Release
【モンティ・ホール問題とベイズ推定-追加情報に応じて取るべき行動をどう変えるか?】【シンクタンク】ニッセイ基礎研究所は、保険・年金・社会保障、経済・金融・不動産、暮らし・高齢社会、経営・ビジネスなどの各専門領域の研究員を抱え、様々な情報提供を行っています。
モンティ・ホール問題とベイズ推定-追加情報に応じて取るべき行動をどう変えるか?のレポート Topへ










