- シンクタンクならニッセイ基礎研究所 >
- 保険 >
- 欧米保険事情 >
- 英国におけるソルベンシーIIのレビューを巡る動向(その8)-2024年における動き(Brexit後の4年間の取組みが最終化)-
2024年12月03日
英国におけるソルベンシーIIのレビューを巡る動向(その8)-2024年における動き(Brexit後の4年間の取組みが最終化)-
文字サイズ
- 小
- 中
- 大
3|法令等の改正
一方で、PRAによるこれらの規則や政策資料の改正に先立つ形で、財務省によって関係する法令等の改正も以下の通りに行われてきている。
1.保険および再保険事業(健全性要件)規則2023(「IRPR規則2023」)19
ソルベンシーIIのマッチング調整に関して、2023年12月7日に作成され、2024年6月30日に発効した。この法律では、保険会社が標準式(SF)に基づいて技術的準備金とソルベンシー資本要件(SCR)を計算するために使用する技術情報を公表するPRAの義務が規定されている。
2.2000年金融サービスおよび市場法(個別ケースにおける金融規制規則の適用除外または修正)規則202420
2024年4月18日に作成され、2024年6月30日に発効した。この法律には、FSMA 2000の第138BA条によって付与された権限を行使する規制が含まれている。第138BA条により、PRAは企業に規則を適用しない承認、または規則を修正して適用する承認(規則承認)を与えることができる。
3.2023年金融サービスおよび市場法(施行第6号)規則202421
2024年5月9日に制定され、2024年12月31日に発効する。これらの規制は、FSMA 2000に基づく規制のアプローチに沿って、関連するPRAの規則および政策資料に置き換えることができるように、統合された法律の廃止を規定している。特に、この法律では以下が廃止される。
・保険および再保険事業の実施および遂行に関する欧州議会および理事会の指令2009/13/8/EC(ソルベンシーII)を補足する2014年10月10日の欧州委員会委任規則(EU)2015/35
・ソルベンシーII規則2015(SI 2015/575)
・ソルベンシーIIおよび保険(改正等)(EU離脱)規則2019(SI 2019/407)
・ソルベンシーII委員会実施規則(上記法律の付則に記載されていた)
・保険および再保険事業(健全性要件)(リスクマージン)規則2023
4.保険および再保険事業(健全性要件)(改正およびその他の規定)規則202422
2024年10月31日に作成され、2024年12月31日に発効する。この法律は、法令集に記載されているリスクマージンの計算式とパラメータを再規定している。さらに、この法律には、PS2/24に規定されている動員、臨界値条件、第三国支店改革の実施に合わせたFSMA 2000の改正が含まれている。
5.保険および再保険事業(海外保険制度、移行規定等)規則202423
2024年11月6日に制定され、2024年12月31日に発効する。この法律は、保険および再保険事業(健全性要件)(移行規定および結果的な改正)規則202424を改正している。2024年12月31日より前にソルベンシーII規則2015の第4部(承認)に基づいて付与された承認は、PRAの第138BA条に基づいて付与された承認となり、既存の第4部の承認を持つ企業は2024年12月31日以降も引き続きその承認を適用できるようになる。したがって、PRAは、2024年12月31日以前に付与された第4部の承認に関して、企業に再申請を要求する計画はない。この法律はまた、保険および再保険事業(健全性要件)規則2023を改正することにより、新しい海外保険制度を導入している。結果的にPRAは、規則と政策資料の更新を行った。PRA規則の改正には、参照のために、ソルベンシー資本要件-標準式、グループ監督および関連政策文書、および自己資本および適格負債(PRAルールブックの資本要件規制部分)が含まれている。
23 https://www.legislation.gov.uk/uksi/2024/1116/contents/made
24 https://www.legislation.gov.uk/uksi/2024/594/made
一方で、PRAによるこれらの規則や政策資料の改正に先立つ形で、財務省によって関係する法令等の改正も以下の通りに行われてきている。
1.保険および再保険事業(健全性要件)規則2023(「IRPR規則2023」)19
ソルベンシーIIのマッチング調整に関して、2023年12月7日に作成され、2024年6月30日に発効した。この法律では、保険会社が標準式(SF)に基づいて技術的準備金とソルベンシー資本要件(SCR)を計算するために使用する技術情報を公表するPRAの義務が規定されている。
2.2000年金融サービスおよび市場法(個別ケースにおける金融規制規則の適用除外または修正)規則202420
2024年4月18日に作成され、2024年6月30日に発効した。この法律には、FSMA 2000の第138BA条によって付与された権限を行使する規制が含まれている。第138BA条により、PRAは企業に規則を適用しない承認、または規則を修正して適用する承認(規則承認)を与えることができる。
3.2023年金融サービスおよび市場法(施行第6号)規則202421
2024年5月9日に制定され、2024年12月31日に発効する。これらの規制は、FSMA 2000に基づく規制のアプローチに沿って、関連するPRAの規則および政策資料に置き換えることができるように、統合された法律の廃止を規定している。特に、この法律では以下が廃止される。
・保険および再保険事業の実施および遂行に関する欧州議会および理事会の指令2009/13/8/EC(ソルベンシーII)を補足する2014年10月10日の欧州委員会委任規則(EU)2015/35
・ソルベンシーII規則2015(SI 2015/575)
・ソルベンシーIIおよび保険(改正等)(EU離脱)規則2019(SI 2019/407)
・ソルベンシーII委員会実施規則(上記法律の付則に記載されていた)
・保険および再保険事業(健全性要件)(リスクマージン)規則2023
4.保険および再保険事業(健全性要件)(改正およびその他の規定)規則202422
2024年10月31日に作成され、2024年12月31日に発効する。この法律は、法令集に記載されているリスクマージンの計算式とパラメータを再規定している。さらに、この法律には、PS2/24に規定されている動員、臨界値条件、第三国支店改革の実施に合わせたFSMA 2000の改正が含まれている。
5.保険および再保険事業(海外保険制度、移行規定等)規則202423
2024年11月6日に制定され、2024年12月31日に発効する。この法律は、保険および再保険事業(健全性要件)(移行規定および結果的な改正)規則202424を改正している。2024年12月31日より前にソルベンシーII規則2015の第4部(承認)に基づいて付与された承認は、PRAの第138BA条に基づいて付与された承認となり、既存の第4部の承認を持つ企業は2024年12月31日以降も引き続きその承認を適用できるようになる。したがって、PRAは、2024年12月31日以前に付与された第4部の承認に関して、企業に再申請を要求する計画はない。この法律はまた、保険および再保険事業(健全性要件)規則2023を改正することにより、新しい海外保険制度を導入している。結果的にPRAは、規則と政策資料の更新を行った。PRA規則の改正には、参照のために、ソルベンシー資本要件-標準式、グループ監督および関連政策文書、および自己資本および適格負債(PRAルールブックの資本要件規制部分)が含まれている。
23 https://www.legislation.gov.uk/uksi/2024/1116/contents/made
24 https://www.legislation.gov.uk/uksi/2024/594/made
3―今回の一連のソルベンシーIIレビューによる主な改正
ソルベンシーIIのレビューに関しては、段階的に行われてきた。
まずは、法律を改正することなく、2021年12月31日までに報告要件の合理化が行われた。
続いて、2023年末にはリスクマージンの変更と各種の報告要素に関する変更が行われた。
さらに、2024年6月30日には、マッチング調整の改革が発効した。
最終段階の今回は、2月にPS2/24で公表された一連の変更等がPS15/24で最終化され、2024年末に発効することになっている。加えて、CP5/24で協議されたソルベンシーIIの残りの要件がPRAルールブックやその他の政策資料に移行・統合され、2023年金融サービスおよび市場法と整合させる形の改革が行われた。さらに、今回のPS15/24は、「PS2/24-ソルベンシーIIのレビュー: 英国保険市場への適応」、「PS3/24-ソルベンシーIIのレビュー:報告および開示フェーズ2のほぼ最終版」、および「PS10/24-ソルベンシーIIのレビュー:マッチング調整の改革」で定められた報告ルールで最終版に近い規則が提供された分野について、PRAの最終の規則と政策資料を確認している。
ここでは、これらの改正内容から、主要なものを報告する。
まずは、法律を改正することなく、2021年12月31日までに報告要件の合理化が行われた。
続いて、2023年末にはリスクマージンの変更と各種の報告要素に関する変更が行われた。
さらに、2024年6月30日には、マッチング調整の改革が発効した。
最終段階の今回は、2月にPS2/24で公表された一連の変更等がPS15/24で最終化され、2024年末に発効することになっている。加えて、CP5/24で協議されたソルベンシーIIの残りの要件がPRAルールブックやその他の政策資料に移行・統合され、2023年金融サービスおよび市場法と整合させる形の改革が行われた。さらに、今回のPS15/24は、「PS2/24-ソルベンシーIIのレビュー: 英国保険市場への適応」、「PS3/24-ソルベンシーIIのレビュー:報告および開示フェーズ2のほぼ最終版」、および「PS10/24-ソルベンシーIIのレビュー:マッチング調整の改革」で定められた報告ルールで最終版に近い規則が提供された分野について、PRAの最終の規則と政策資料を確認している。
ここでは、これらの改正内容から、主要なものを報告する。
1|リスクマージン25の改革(2023年12月31日~)
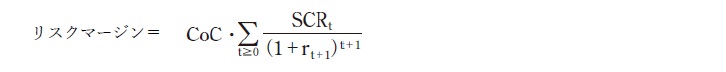
リスクマージンンの方法論については、金利の変動に対する感応度を低くするために、「修正資本コスト法」(新しい漸減パラメータであるλを導入して、予想される将来の資本要件の各年に対する重みを徐々に低下させていく手法)に変更し、資本コスト率も現行の6%から4%に引き下げる26。

ここで、CoCは資本コスト率(4%)、rt+1 は(t+1)年における基本リスクフリーレート、SCRtは参照会社に対して算出されるt年のSCR、λはリスク漸減ファクターで0.975、λfloor はλのフロアー(下限)で25%に設定される。
(参考)現行の算式

この改革により、リスクマージンの規模は、長期生命保険事業で65%、損害保険事業で30%削減されることになるとされた(なお、2022年4月28日の財務省のソルベンシーIIレビューに関する協議文書27によれば、PRAをデータソースとして、2021年末のリスクマージンは、生命保険事業で320億ポンド超、損害保険事業で70億ポンド超、と報告されていた)。
この改正は、2023年12月31日に実施されるTMTP(技術的準備金に関する移行措置)の隔年ごとの再計算に合わせるため、法律の改正を経て、2023年末に実施された。
25 英国やEUのソルベンシーIIにおいては、技術的準備金(Technical Provisions)は、最良推計(Best Estimate)とリスクマージン(Risk Margin)で構成される。リスクマージンは、将来CFの変動に備えるための必要額となっており、「資本コスト法」で算出される。
26 財務省やPRAは、今回のレビューに併せて、(1)既存の資本コスト法の修正、(2)IAIS(保険監督者国際機構)がICS(保険資本基準)のMOCE(現在推計を超えるマージン)の算出に使用しているパーセンタイル法、の2つの手法を検討してきた。2つのアプローチは、全体レベルでは同様の結果が得られるように調整できるが、個々の会社レベルでは非常に異なる影響を与える可能性がある。また、2つのアプローチは、異なる経済状況に応じて異なる結果をもたらす(パーセンタイル法は金利変動の影響を比較的受けにくいが、既存の資本コスト法とは対照的に、スプレッドの影響を受ける)。両者を比較して、既存の資本コスト法を修正する方がより大きな利点があるとの結論に至っている。
27 https://www.gov.uk/government/consultations/solvency-ii-review-consultation
リスクマージンンの方法論については、金利の変動に対する感応度を低くするために、「修正資本コスト法」(新しい漸減パラメータであるλを導入して、予想される将来の資本要件の各年に対する重みを徐々に低下させていく手法)に変更し、資本コスト率も現行の6%から4%に引き下げる26。

ここで、CoCは資本コスト率(4%)、rt+1 は(t+1)年における基本リスクフリーレート、SCRtは参照会社に対して算出されるt年のSCR、λはリスク漸減ファクターで0.975、λfloor はλのフロアー(下限)で25%に設定される。
(参考)現行の算式

この改革により、リスクマージンの規模は、長期生命保険事業で65%、損害保険事業で30%削減されることになるとされた(なお、2022年4月28日の財務省のソルベンシーIIレビューに関する協議文書27によれば、PRAをデータソースとして、2021年末のリスクマージンは、生命保険事業で320億ポンド超、損害保険事業で70億ポンド超、と報告されていた)。
この改正は、2023年12月31日に実施されるTMTP(技術的準備金に関する移行措置)の隔年ごとの再計算に合わせるため、法律の改正を経て、2023年末に実施された。
25 英国やEUのソルベンシーIIにおいては、技術的準備金(Technical Provisions)は、最良推計(Best Estimate)とリスクマージン(Risk Margin)で構成される。リスクマージンは、将来CFの変動に備えるための必要額となっており、「資本コスト法」で算出される。
26 財務省やPRAは、今回のレビューに併せて、(1)既存の資本コスト法の修正、(2)IAIS(保険監督者国際機構)がICS(保険資本基準)のMOCE(現在推計を超えるマージン)の算出に使用しているパーセンタイル法、の2つの手法を検討してきた。2つのアプローチは、全体レベルでは同様の結果が得られるように調整できるが、個々の会社レベルでは非常に異なる影響を与える可能性がある。また、2つのアプローチは、異なる経済状況に応じて異なる結果をもたらす(パーセンタイル法は金利変動の影響を比較的受けにくいが、既存の資本コスト法とは対照的に、スプレッドの影響を受ける)。両者を比較して、既存の資本コスト法を修正する方がより大きな利点があるとの結論に至っている。
27 https://www.gov.uk/government/consultations/solvency-ii-review-consultation
2|「PS2/24-ソルベンシーIIのレビュー:英国保険市場への適応」に基づく改革(PS/15/24で最終化)(2024年12月31日~)
これはPRAルールブックの改正を通じて実施される変更を示している。
PRA は、この改正により、英国の保険部門の既存の管理要件と報告要件を大幅に削減し、強力な健全性基準を維持しながらコストと複雑さを軽減できると考えている。
このPSには、(1)計算の簡素化、(2)内部モデルの評価の簡素化、(3)国際的な保険会社の支店に関する規制の簡素化、(4)新規会社の参入の容易化、等の改革が含まれており、これらの改正は2024年末に発効する。
なお、PRAは、これらの改革に伴う費用収益分析(コストベネフィット分析)を行っている。それによると、会社のコンプライアンスコストとPRAの監督コストの両方の削減、資本コンプライアンス上のベネフィット、効果的な競合・国際的な競争力・成長の促進、がメリットとして挙げられている。一方で、実施コストを発生させる可能性があるが、長期的には継続的にコストが削減され、また多くの場合、会社は既存の慣行を継続できる選択肢を有している、と評価している。
また、具体的な改革の概要は、以下の通りとなっている。なお、このPSの草案に当たる「CP12/23-ソルベンシーII のレビュー:英国の保険市場への適応」の内容については、前回の基礎研レポートで説明しているが、その後、草案の内容は最終案で一部変更されている。
これはPRAルールブックの改正を通じて実施される変更を示している。
PRA は、この改正により、英国の保険部門の既存の管理要件と報告要件を大幅に削減し、強力な健全性基準を維持しながらコストと複雑さを軽減できると考えている。
このPSには、(1)計算の簡素化、(2)内部モデルの評価の簡素化、(3)国際的な保険会社の支店に関する規制の簡素化、(4)新規会社の参入の容易化、等の改革が含まれており、これらの改正は2024年末に発効する。
なお、PRAは、これらの改革に伴う費用収益分析(コストベネフィット分析)を行っている。それによると、会社のコンプライアンスコストとPRAの監督コストの両方の削減、資本コンプライアンス上のベネフィット、効果的な競合・国際的な競争力・成長の促進、がメリットとして挙げられている。一方で、実施コストを発生させる可能性があるが、長期的には継続的にコストが削減され、また多くの場合、会社は既存の慣行を継続できる選択肢を有している、と評価している。
また、具体的な改革の概要は、以下の通りとなっている。なお、このPSの草案に当たる「CP12/23-ソルベンシーII のレビュー:英国の保険市場への適応」の内容については、前回の基礎研レポートで説明しているが、その後、草案の内容は最終案で一部変更されている。
1.技術的準備金及びリスクフリーレートに関する移行措置
-TMTP(技術的準備金に関する移行措置)の計算の簡素化とプロセスの改善-
会社が2032年の移行措置の終了に向けて効果的に計画することを確保しつつ、会社のコストと複雑さ(従来のソルベンシーIモデルの維持にかかるコストを含む)を削減する。これらの改正は、現在TMTPの承認を受けている24の生命保険会社と、既にTMTPの恩恵を受けている業務を受け入れた後に将来TMTPの承認を与えられる全ての会社に利益をもたらす。
TMTP(transitional measure on technical provisions:技術的準備金に関する移行措置)は、ソルベンシーIIの導入を容易にするために、2032年までの16年間をかけて、段階的にソルベンシーIからソルベンシーIIに移行することを認めている措置である28(これによるベネフィットは2022年末において、129億ポンド(政府が計画しているリスクマージンの改革を考慮すると65億ポンド)となっていた)。この措置を適用するためにはソルベンシーIを維持する必要があるため、コスト負担が発生している。また、TMTPについては、隔年ごと、さらにはリスクプロファイルに重大な変化があった場合には、再計算を実施する必要がある。加えて、これまでは、ソルベンシーIIよりもソルベンシーIの方がより良い状況になることを阻止するための上限を確認するFRR(financial resource requirement:財源要件)テスト29を実施する必要があった。
PRAは、TMTPの計算プロセスを大幅に簡素化し、ソルベンシーIモデルを維持する必要性を排除し、FRRテストを削除することとした。具体的には、新しいTMTP方式では、TMTPを、(1)RM(リスクマージン)構成要素、(2)年金BEL(最良推定負債)構成要素、(3)年金以外BEL構成要素の3つに分けて、(1)と(2)については2016年以前の契約のRMとソルベンシーII年金BELにそれぞれZAとZBを掛けて算出(それぞれ新しい方式実施時に、2016年以前の契約のRMにZAとを掛けたものがRM構成要素に等しく、2016年以前の年金契約のソルベンシーIIBELにZBを掛けたものが年金BEL構成要素となる)、(3)については当初の金額を直線的に償却、さらに償却調整額(移行期間終了時のTMTPが0より大きくなるのを回避するための調整額でTMTPのマイナス要素)、の合計額として算出する。これにより、新方式に変更後はソルベンシーIIの数値のみから計算できるようになる。さらに、会社が各報告期間の最終日にTMTPを計算することを認め、再計算のためにPRAの承認を得る必要はなくなる。また、会社の監査委員会からの承認も求められなくなる。なお、新しいTMTP方式が不適切となる会社もあることから、会社の選択で旧方式(レガシーアプローチ)を適用し続けることもできる。
28 TMTPについては、EU加盟国でも、ドイツが最大の利用者で多数の会社が適用しており、フランスやスペインの会社も多く適用しているが、現在検討されているEUのソルベンシーIIレビューにおいて、その見直しは計画されていない。なお、ドイツでは最近の金利上昇等の影響により、TMTP適用の必要性についての議論も行われてきている。
29 ソルベンシーIIの下でのFRRがソルベンシーIの下でのFRRより低くならないようにTMTPの額が制限される。
-TMTP(技術的準備金に関する移行措置)の計算の簡素化とプロセスの改善-
会社が2032年の移行措置の終了に向けて効果的に計画することを確保しつつ、会社のコストと複雑さ(従来のソルベンシーIモデルの維持にかかるコストを含む)を削減する。これらの改正は、現在TMTPの承認を受けている24の生命保険会社と、既にTMTPの恩恵を受けている業務を受け入れた後に将来TMTPの承認を与えられる全ての会社に利益をもたらす。
TMTP(transitional measure on technical provisions:技術的準備金に関する移行措置)は、ソルベンシーIIの導入を容易にするために、2032年までの16年間をかけて、段階的にソルベンシーIからソルベンシーIIに移行することを認めている措置である28(これによるベネフィットは2022年末において、129億ポンド(政府が計画しているリスクマージンの改革を考慮すると65億ポンド)となっていた)。この措置を適用するためにはソルベンシーIを維持する必要があるため、コスト負担が発生している。また、TMTPについては、隔年ごと、さらにはリスクプロファイルに重大な変化があった場合には、再計算を実施する必要がある。加えて、これまでは、ソルベンシーIIよりもソルベンシーIの方がより良い状況になることを阻止するための上限を確認するFRR(financial resource requirement:財源要件)テスト29を実施する必要があった。
PRAは、TMTPの計算プロセスを大幅に簡素化し、ソルベンシーIモデルを維持する必要性を排除し、FRRテストを削除することとした。具体的には、新しいTMTP方式では、TMTPを、(1)RM(リスクマージン)構成要素、(2)年金BEL(最良推定負債)構成要素、(3)年金以外BEL構成要素の3つに分けて、(1)と(2)については2016年以前の契約のRMとソルベンシーII年金BELにそれぞれZAとZBを掛けて算出(それぞれ新しい方式実施時に、2016年以前の契約のRMにZAとを掛けたものがRM構成要素に等しく、2016年以前の年金契約のソルベンシーIIBELにZBを掛けたものが年金BEL構成要素となる)、(3)については当初の金額を直線的に償却、さらに償却調整額(移行期間終了時のTMTPが0より大きくなるのを回避するための調整額でTMTPのマイナス要素)、の合計額として算出する。これにより、新方式に変更後はソルベンシーIIの数値のみから計算できるようになる。さらに、会社が各報告期間の最終日にTMTPを計算することを認め、再計算のためにPRAの承認を得る必要はなくなる。また、会社の監査委員会からの承認も求められなくなる。なお、新しいTMTP方式が不適切となる会社もあることから、会社の選択で旧方式(レガシーアプローチ)を適用し続けることもできる。
28 TMTPについては、EU加盟国でも、ドイツが最大の利用者で多数の会社が適用しており、フランスやスペインの会社も多く適用しているが、現在検討されているEUのソルベンシーIIレビューにおいて、その見直しは計画されていない。なお、ドイツでは最近の金利上昇等の影響により、TMTP適用の必要性についての議論も行われてきている。
29 ソルベンシーIIの下でのFRRがソルベンシーIの下でのFRRより低くならないようにTMTPの額が制限される。
(2024年12月03日「基礎研レポート」)
関連レポート
- 英国におけるソルベンシーIIのレビューを巡る動向(その7)-2023年に入ってからの動き(財務省とPRAが具体的な提案を公開)-
- 英国におけるソルベンシーIIのレビューを巡る動向(その6)-財務省による対応結果の公表等-
- 英国におけるソルベンシーIIのレビューを巡る動向(その5)-報告改革に関する協議文書の公表-
- 英国におけるソルベンシーIIのレビューを巡る動向(その4)-英国政府による協議文書と業界等の反応-
- 英国におけるソルベンシーIIのレビューを巡る動向(その3)-英国政府が改革のヘッドラインを発表-
- 英国におけるソルベンシーIIのレビューを巡る動向(その2)-Brexit後の英国での検討の動き-
- 英国におけるソルベンシーIIのレビューを巡る動向(その1)-Brexit後の英国での検討の動き-
中村 亮一のレポート
| 日付 | タイトル | 執筆者 | 媒体 |
|---|---|---|---|
| 2025/10/23 | EIOPAがソルベンシーIIのレビューに関する技術基準とガイドラインのセットの新たな協議を開始等 | 中村 亮一 | 保険・年金フォーカス |
| 2025/10/16 | EIOPAが2026年のワークプログラムと戦略的監督上の優先事項を公表-テーマ毎の活動計画等が明らかに- | 中村 亮一 | 保険・年金フォーカス |
| 2025/10/09 | 曲線にはどんな種類があって、どう社会に役立っているのか(その13)-3次曲線(アーネシの曲線・シッソイド等)- | 中村 亮一 | 研究員の眼 |
| 2025/10/02 | IAIGsの指定の公表に関する最近の状況(15)-19の国・地域からの61社に- | 中村 亮一 | 保険・年金フォーカス |
新着記事
-
2025年11月04日
今週のレポート・コラムまとめ【10/28-10/31発行分】 -
2025年10月31日
交流を広げるだけでは届かない-関係人口・二地域居住に求められる「心の安全・安心」と今後の道筋 -
2025年10月31日
ECB政策理事会-3会合連続となる全会一致の据え置き決定 -
2025年10月31日
2025年7-9月期の実質GDP~前期比▲0.7%(年率▲2.7%)を予測~ -
2025年10月31日
保険型投資商品の特徴を理解すること(欧州)-欧州保険協会の解説文書
お知らせ
-
2025年07月01日
News Release
-
2025年06月06日
News Release
-
2025年04月02日
News Release
【英国におけるソルベンシーIIのレビューを巡る動向(その8)-2024年における動き(Brexit後の4年間の取組みが最終化)-】【シンクタンク】ニッセイ基礎研究所は、保険・年金・社会保障、経済・金融・不動産、暮らし・高齢社会、経営・ビジネスなどの各専門領域の研究員を抱え、様々な情報提供を行っています。
英国におけるソルベンシーIIのレビューを巡る動向(その8)-2024年における動き(Brexit後の4年間の取組みが最終化)-のレポート Topへ










