- シンクタンクならニッセイ基礎研究所 >
- ジェロントロジー(高齢社会総合研究) >
- 高齢化問題(全般) >
- 出生率の決定要因や少子化施策の効果に関する分析-埼玉県における少子化対策に関する施策の効果検証を中心に-
出生率の決定要因や少子化施策の効果に関する分析-埼玉県における少子化対策に関する施策の効果検証を中心に-
生活研究部 上席研究員・ヘルスケアリサーチセンター・ジェロントロジー推進室兼任 金 明中
日本社会事業大学 社会福祉学部 教授 金子 能宏
文字サイズ
- 小
- 中
- 大
被説明変数が量的データである一般的な回帰分析は、説明変数と被説明変数の間の線形関係を仮定しており、一般線形モデル(Ordinary Linear Model)と呼ばれている。しかしながら社会のすべての現象が線形的な関係ではないので、非線形的な関係に対する分析も必要である。また、現実的には被説明変数が量的(Quantitative)データではなく質的(Qualitative)データであるケースも多い。例えば、所得がいくらぐらいである時、家を所有するか、給料がどのぐらいある時、車を買うか、年収がどのぐらいである時、結婚するかなど説明変数は量的データあるものの、被説明変数は「家を所有している、家を所有していない」のような質的データになっている場合がある4。
このように被説明変数が質的データであっても分析ができるよう一般線形モデルを拡張したのが一般化線形モデル(GLM:Generalized Linear Model)である。一般線形モデルが、被説明変数が正規分布をしている時のみを扱っていることに比べて、一般化線形モデルは、正規分布以外の分布(二項分布、ポアソン分布等)に従う被説明変数を予測する時にも使われる。また、一般線形モデルでは被説明変数と説明変数の線形的な関係を推計することに対して、一般化線形モデルは2値変数を扱えるようにするために被説明変数を適切な関数に変えたf(x)と説明変数の関係を推計する。このような一般化線形モデルで最も使われている分析方法がロジスティック分析である。
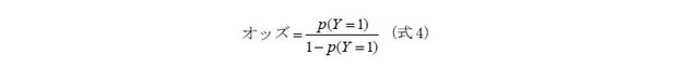
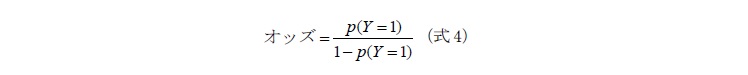
ここでは、2000年に比べて2017年の出生率が改善された市町村を1、2000年に比べて2017年の出生率が改善されていない市町村を0とする「合計特集出生率変化ダミー」を作成し、埼玉県の各市町村が出生率を改善するために実施している施策の効果を検証した。ここで、検証したいのは、(1)第1子から全出生世帯への祝金等給付事業、(2)第3子以降の出生世帯に限定した給付事業または第3子以降世帯のみに上乗のある祝金等事業、(3)補助対象児当たりの多子世帯保育料補助額のような三つの施策である。図表36は分析の結果であり、各制度の影響が出生率変化に与えた影響を分かりやすくするためにオッズ比を求めて、表示している。オッズとは、ある事象が起こる可能性で、発生しない確率(1-p)に対する発生する確率(p)の比率である((式4)。

オッズは0から∞の値が得られ、オッズが1より大きいと発生する確率が発生しない確率より大きいことを、逆に1より小さいと発生しない確率が発生する確率より大きいことを意味する。また、オッズが1になると、事象の発生する確率と発生しない確率が同じくなる。一方、オッズ比とは二つのオッズの比率である。
4 量的データとは、データの連続性があり、足したり引いたり演算ができ、演算しても数値として意味のあるデータである。一方、質的データは、分類や種類を区別するためのデータ(性別、学歴カテゴリ、地域カテゴリ等)であり、そのまま足したり引いたり演算ができず演算をしても意味のないデータである。
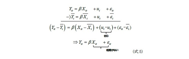
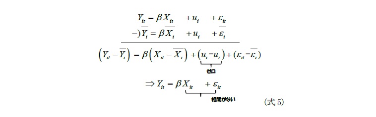
パネルデータ5を通常の最小二乗法で推定した場合、推定値にバイアスが発生する恐れがある。つまり、通常の最小二乗法では企業や個人の持っている固有効果を誤差項に含めて推定を行っているが、その結果、固有効果により誤差項に自己相関が発生したり、誤差項が説明変数と相関するために、BLUE(Best Linear Unbiased Estimator、最良線形不偏推定量)を得るための誤差項の仮定が満たされなくなるケースが多い。そこで、パネル分析を行った6。

固定効果モデルと変量効果モデルのいずれを用いるべきかの判断にはハウスマンテストを用いた。
・帰無仮説:誤差項は説明変数と相関がない(変量効果モデルを支持)
・対立仮説:誤差項は説明変数と相関がある(固定効果モデルを支持)
○ 被説明変数:出生率
○ 説明変数
(a)人口構造((1)人口密度、(2)20歳~39歳人口割合、(3)未婚率)
(b)経済状況((1)一世帯当たり課税対象所得、(2)15歳~49歳就業率)
(c)世帯構成(一般世帯のうち高齢夫婦世帯割合)
(d)子育て支援((1)一般行政費に占める児童福祉費比率、(2)補助対象児当たりの多子世帯保育料補助額)
ハウスマンテストの結果、帰無仮説(誤差項は説明変数と相関がない)が棄却されたので、固定効果モデルを用いて分析を行った。分析では、回帰分析と同様に20歳~39歳人口比率、未婚率、15~49歳の就業率、一人当たり課税対象所得(対数)、一般世帯のうち高齢夫婦世帯比率、一般行政費に占める児童福祉費比率、補助対象児当たりの多子世帯保育料補助額を順次入れて分析を行った。分析の結果は図表37の通りであり、可住地人口密度(対数)が高い市町村と15~49歳の就業率(男性)が高い市町村で出生率が高いという結果が出た。
5 時系列データとクロスセクションデータを組み合わせたデータセットであり、nの個体(人、企業、国等)をT期間観察することから得られるデータである。
6 固定効果モデルでは、個体ごとのダミー変数を用いる代わりに、個体ごとに期間平均値からの乖離をとった推定式を利用することで、時間を通じて変化しない固有効果を除去する。
6――おわりに
出生率の要因分解(平均との差)を行った結果、出生率の低い市町村では「20歳~39歳人口割合(女性)」が平均値より低く、「15~49歳女性の就業率」が平均値より高い傾向がみられた。一方、男性の場合は、出生率が高い市町村で「20歳~39歳人口割合(男性)」と「15~49歳男性の就業率」が平均値より高いという結果が出た。
「第1子から全出生世帯へのお祝い金等給付事業」と「第3子以降の出生世帯に限定した給付事業または第3子以降世帯のみに上乗のあるお祝い金等事業」の政策効果を推計するために差分の差分法(DID分析)を行った結果、分析時期を2015年と2016年にした分析では政策効果に統計的に有意な結果は表れなかった。そこで、政策の効果が出るまでには多少時間がかかることを考慮し、分析時期を2015年と2017年に調整し、分析を行った結果、「第1子から全出生世帯への祝い金等給付事業」を実施している市町村(トリートメントグループ)の出生率が高いという結果が出ており、統計的にも有意であった。
ロジスティック分析の結果、補助対象児当たりの多子世帯保育料補助額が増加した場合、出生率が改善された市町村に含まれる確率が少しではありながら高くなるという結果が出ており、統計的にも有意であった。
パネル分析の結果からは、可住地人口密度(対数)が高い市町村と15~49歳の就業率(男性)が高い市町村で出生率が高いという結果が出た。
現在、日本では埼玉県のみならず、全国の地方自治体で出生率を改善させるための多様な政策が実施されている。しかしながら、地方自治体の努力にも関わらず、施策の効果がはっきり現れているところはそれほど多くない。出生率は地方自治体が実施する施策のみならず、親の雇用形態や所得水準、住居環境、意識など多様な要因が影響を与えている可能性が高い。従って、出生率改善の効果を高めるためには、お祝い金などの経済的支援のみならず、より多様な側面から多様な支援を行う必要がある。今後はこのような要因を考慮し、出生率の改善により貢献できる分析を行いたい。
7――参考文献
- 伊達雄高・清水谷諭(2004)「日本の出生率低下の要因分析: 実証研究のサーベイと政策的含意の検討」内閣府経済社会総合研究所、ESRI Discussion Paper Series No.94
- 岡山県(2017)「合計特殊出生率「見える化」分析」
- 戒能一成(2017)「政策評価のための横断面前後差分析(DID)の前提条件と処置効果の安定性条件(SUTVA)に問題を生じる場合の対策手法の考察」DPRIETI Discussion Paper Series 17-J-075
- 阿部一知・原田泰(2008)「子育て支援策の出生率に与える影響:市区町村データの分析」『会計検査研究』第38号
- 加藤久和(2017)「市区町村別にみた出生率格差とその要因に関する分析」『フィナンシャル・レビュー』平成29年第3号(通巻第131号)
- 金明中(2015)「非正規雇用増加の要因としての社会保険料事業主負担の可能性」『日本労働研究雑誌』No.659
- Juan M. Villa “Diff: simplifying the causal inference analysis with difference-in-differences” 18th London Stata Users Group Meeting September 12th, 2012
- 日本創生会議・人口減少問題検討分科会(2014) 「ストップ少子化・地方元気戦略」、2014年5月 8日
(2019年09月19日「基礎研レポート」)
このレポートの関連カテゴリ
金子 能宏
新着記事
-
2025年11月04日
今週のレポート・コラムまとめ【10/28-10/31発行分】 -
2025年10月31日
交流を広げるだけでは届かない-関係人口・二地域居住に求められる「心の安全・安心」と今後の道筋 -
2025年10月31日
ECB政策理事会-3会合連続となる全会一致の据え置き決定 -
2025年10月31日
2025年7-9月期の実質GDP~前期比▲0.7%(年率▲2.7%)を予測~ -
2025年10月31日
保険型投資商品の特徴を理解すること(欧州)-欧州保険協会の解説文書
お知らせ
-
2025年07月01日
News Release
-
2025年06月06日
News Release
-
2025年04月02日
News Release
【出生率の決定要因や少子化施策の効果に関する分析-埼玉県における少子化対策に関する施策の効果検証を中心に-】【シンクタンク】ニッセイ基礎研究所は、保険・年金・社会保障、経済・金融・不動産、暮らし・高齢社会、経営・ビジネスなどの各専門領域の研究員を抱え、様々な情報提供を行っています。
出生率の決定要因や少子化施策の効果に関する分析-埼玉県における少子化対策に関する施策の効果検証を中心に-のレポート Topへ












